https://www.science.org/doi/10.1126/science.1202775
Golder, S. A., & Macy, M. W. (2011). Diurnal and Seasonal Mood Vary with Work, Sleep, and Daylength Across Diverse Cultures. Science (American Association for the Advancement of Science), 333(6051), 1878–1881. https://doi.org/10.1126/science.1202775
研究背景
个体情绪不仅受多巴胺等神经化学物质及激素水平的影响,同时也受工作等日常活动的外部调节。传统个体情绪的研究多依赖小样本的回顾性自我报告,难以捕捉大规模、跨文化的实时情绪波动。
问题提出
1. 个体情绪变化与昼夜节律之间存在什么关系?
2. 个体情绪变化与工作之间存在什么样的关系?
3. 个体情绪变化与季节日长变化之间存在什么关系?
4. 跨文化背景下情绪变化是否一致?
研究设计
自变量:昼夜节律、周天类型、季节性日长、地域
因变量:积极情绪(PA)、消极情绪(NA)
数据来源:2008年2月–2010年1月间Twitter约240万英语用户的5.09亿条消息
数据处理:①LIWC词典量化PA、NA。其包含64类心理和行为维度的词汇库(如PA、NA),通过匹配推文中的词汇,计算情感得分 均值中心化。②为消除个体间差异(如性格差异),将每个用户的情感得分减去其个人均值,仅保留个体内波动
数据分析:①时间序列分析。计算每小时PA和NA的平均值及95%置信区间 ②卡方检验。比较不同地区的昼夜情绪模式是否具有统计差异 ③t检验。比较不同时间分组(如周末 vs. 工作日)或地区分组(如阿联酋 vs. 西方国家)的情绪均值差异 ④相关性分析。PA、NA之间的关系、季节日长变化与情绪的关系
研究结论
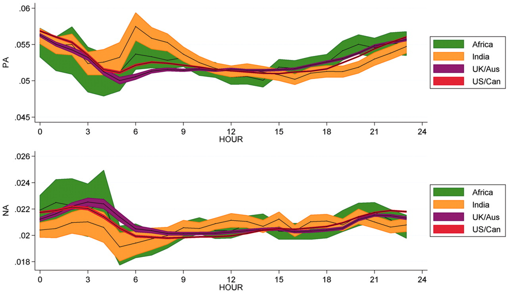
1. 睡眠的核心作用:睡眠模式通过调节生物钟相位直接影响昼夜情绪波动。PA呈双峰(晨间与午夜),NA午后升高
2. 工作影响:周末PA(M=0.058)比工作日(M=0.054)高,晨峰延迟两小时

3. 季节性影响:PA、NA与绝对日长无显著关系;PA随相对日长变化显著,春分达到最大值(r = 1.21 × 10−3,P < 0.001),NA无显著变化(r = 1.86 × 10−4,P = 0.483),支持冬季抑郁的“相位偏移”假说

4. 文化一致性:不同地区的情绪周期相似,反映生物钟与睡眠的主导作用

有价值的、有趣的
1. 大数据驱动的社会科学:将社交媒体数据与生物钟研究结合,为实时、大规模的量化研究提供了范式
2. 跨学科整合:融合心理学、生物学、计算语言学等多门学科,凸显量化跨学科研究的潜力
3. 自然语言处理:可以使用LIWC词典处理非结构化语言
4. 研究支持了前人的冬季抑郁相位偏移假说
5. 睡眠通过生物钟机制调节情绪,下午、工作日NA较高,PA、NA相对独立

我对这篇文献中的核心变量“睡眠”和“情绪”比较感兴趣。研究结论发现“睡眠模式通过调节生物钟相位直接影响昼夜情绪波动”,其中PA呈现双峰、NA午后升高。从PA、NA和时间的变化规律图来看,当夜间保持足够的睡眠时间,及时进入睡眠状态,并能在早上六点到九点这个时段起来,我们会拥有较高的积极情绪和最低程度的消极情绪。现实生活中,我好像也确实有这个感受。当保证晚上早睡,达到8小时睡眠之后,早晨在6-9点起床后心情会格外的好,并且这个时间段自己会更容易沉下心来工作,早起后会感觉一天时间都变长了。因此,我觉得这项研究也对保持健康的作息具有一定解释意义。
这篇文章的数据来源“Twitter”和数据处理方式令我印象深刻。惯常的思路量化研究收来的数据一般是研究者刻意要设计一份问卷,要去到某个地点,进行问卷收集,而这篇文章直接从社交媒体去扒取数据进行分析,将睡眠对情绪的影响推向量化,而非仅仅从质性的角度去理解背后的原理。如此一来,会更具统计意义,面向的人群更加广泛。同时,这篇文章对数据结果的呈现方式,即所做的图也是能让人直观感受到作者想表达的东西。将多个学科加以整合,形成了一份有趣的量化研究!
研究利用 Twitter 的大量实时文本数据,既保证了研究的广度,也规避回忆偏差。研究很有意思,揭示了情绪与生物钟、社会工作作息、相对日照时长之间的关系。并且还提到周末情绪峰值延迟2小时的“睡懒觉效应”,可见工作对人情绪有多大的影响(bushi)。好奇周日晚至周一早的消极情绪值会不会高于其他日子的同一时段的消极情绪值。毕竟周一很令人讨厌。
这篇研究在数据来源和数据处理上很值得借鉴。特别是利用LIWC词典对Twitter上抓取的用户消息做PA和NA进行量化,这给我们之后做情感分析和词频统计提供了可靠的工具。此外在研究结果上,该研究的作图直观清晰。有意思的是,NA在凌晨0-3点确实会比白天高出不少,也和我们日常上网冲浪时感受到深夜“emo”群体更多是一致的。对于不同国家和地区,也能看到英区的NA相对其他地区略高、PA相比其他地区则略低,和我们认知中英国抑郁情绪更高发也比较统一。印度地区的PA则相对更高、NA相对更低,这背后的原因我也许可以再多看看研究进行了解,不知道是否与天气、文化有关。